Analisis regresi mempelajari bentuk hubungan antara satu atau lebih
peubah/variabel bebas (X) dengan satu peubah tak bebas (Y). dalam penelitian peubah
bebas ( X) biasanya peubah yang ditentukan oleh peneliti secara bebas misalnya
dosis obat, lama penyimpanan, kadar zat pengawet, umur ternak dan sebagainya.
Disamping itu peubah bebas bisa juga berupa peubah tak bebasnya, misalnya dalam
pengukuran panjang badan dan berat badan sapi, karena panjang badan lebih mudah
diukur maka panjang badan dimasukkan kedalam peubah bebas (X), sedangkan berat
badan dimasukkan peubah tak bebas (Y). Sedangkan peubah tak bebas (Y) dalam
penelitian berupa respon yang diukur akibat perlakuan/peubah bebas (X).
misalnya jumlah sel darah merah akibat pengobatan dengan dosis tertentu, jumlah
mikroba daging setelah disimpan beberapa hari, berat ayam pada umur tertentu dan sebagainya.
Untuk mempelajari cara melakukan analisis regresi linear, silahkan baca artikel kami antara lain:
Regresi Linear Sederhana dengan SPSS
Regresi Linear Berganda dengan Minitab
Regresi Linear Berganda dengan STATA
Analisis Regresi dalam Excel
Bentuk hubungan antara
peubah bebas (X) dengan peubah tak bebas (Y) bisa dalam bentuk polinom derajat
satu (linear) polinom derajat dua (kuadratik). Polinom derajat tiga (Kubik) dan
seterusnya. Disamping itu bisa juga dalam bentuk lain misalnya
eksponensial, logaritma, sigmoid dan sebagainya. Bentuk-bentuk ini dalam analisis
regresi-korelasi biasanya dilakukan transformasi supaya menjadi bentuk polinom.
Dalam bentuk yang paling
sederhana yaitu satu peubah bebas (X) dengan satu peubah tak bebas (Y) mempunyai
persamaan:
Y =a +bx
Disini a disebut intersep dan b adalah koefisien arah atau koefisien beta.
Dalam pengertian fungsi
persamaan garis Y + a + bx hanya ada satu yang dapat dibentuk dari dua buah
titik dengan koordinat yang berbeda yaitu ( X1, Y1) dan X2,Y2).
Hal ini berarti kita bisa membuat banyak sekali persamaan garis dalam bentuk
lain melalui dua buat titik yang berbeda koordinatnya/tidak berimpit.
Persamaan
garis melalui dua buah titik dirumuskan sebagai berikut:
![]() |
| Persamaan Garis Regresi |
Sebagai contoh misalnya titik A (1,3) dan titik B ($,9) maka
persamaan garis linear yang dapat dibuat adalah:
![]() |
| Persamaan Garis Linear |
Dalam bentuk matrik bisa kita buat persaman sebagai berikut:
![]() |
| Matrix Regresi Linear |
Jadi a=1 dan b=2 sehingga persamaannya Y=1 +2X
Jika jumlah data sebanyak n maka persamaannya sebagai berikut:
Disini βo adalah penduga a, β1 adlah penduga b dan εi merupakan besarnya simpangan persamaan garis penduga. Semakin kecil nilai εi persamaan regresi yang diperoleh akan semakin baik.
Jadi kita dapat menuliskan pengamatan kita menjadi:
Dengan notasi matriks dapat ditulis sebagai berikut:
Jadi kita peroleh matrik Y,X,β dan ε dengan dimensi sebagai berikut :
Jika diasumsikan E(ε) = 0 maka E(Y) = Xβ
Bila modelnya benar β
merupakan penduga terbaik yaitu dengan jalan melakukan penggandaan awal dengan
X’ sehingga diperoleh persamaan normal sebagai berikut:
Jadi β=(X’X)-1X’Y
Disini(X’X)-1 adalah kebalikan (inverse) dari matrik X’X
Contoh :
Seorang peneliti ingin
mengetahui bentuk hubungan antara jumlah cacing jenis tertentu dengan jumlah
telurnya pada usus ayam buras. Untuk tujuan tersebut diperiksa 20 ekor ayam dan
ditemukan sebagai berikut:
Bila kita duga bentuk hubungan antara jumlah cacing (X) dan jumlah
telurnya (Y) adalah:
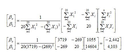
Jadi Ŷ=-2,442 + 4,103 Xi,
Persamaan garis regresi Yi =-2,442 + 4,103 Xi bukanlah satu-satunya
garis penduga untuk menyatakan hubungan antara jumlah cacing dengan jumlah
telurnya. Sudah barang tentu masih banyak lagi bentuk persamaan penduga yang
dapat dibuat misalnya dalam bentuk persamaan Yi=βo+β1Xi+β2Xi2,Yi=βoXiβ1
(dalam bentuk linear LnYi=Ln βo+βiLnXi) dan masih banyak
lagi bentuk yang lainnya.
Untuk menyatakan apakah garis yang diperoleh
cukup baik untuk menggambarkan hubungan antara peubah bebas (X) dengan peubah
tak bebas (Y) dapat dilakukan pengujian bentuk model yang digunakan dan keeratan
hubungannya (korelasi) untuk menyatakan ketepatan dan ketelitian persamaan
garis regresi yang diperoleh.
Agar anda memahami artikel ini, pelajari juga tentang Uji F dan Uji T: "Uji F dan Uji T"
Pelajari juga: Interprestasi Regresi Linear Berganda dengan Minitab
Sumber: http://www.statistikian.com/2012/08/analisis-regresi-korelasi.html












Komentar
Posting Komentar